By Yazerail J.
Spacedome Research
Modern artificial intelligence performs large amounts of repeated reasoning. Even when two queries represent nearly identical problems, inference is typically recomputed from scratch.
This behaviour creates two important limitations. First, repeated inference increases computational cost and latency as AI usage grows.
Second, repeating the same reasoning can introduce nondeterminism. Small variations in how the system processes a query may lead to slightly different results, which becomes problematic in critical workflows.
The challenge is therefore twofold: as AI grow more capable, they must remain both efficient and deterministic.
Motivation
A Simple Observation
Human reasoning rarely recomputes every solution from the beginning. Prior conclusions are remembered and reused when similar situations arise.
Most AI architectures do not benefit from this property. Each query is treated as an independent task even when similar reasoning has already been performed before.
This observation motivates a different approach to inference.
The Mechanism
Intelligence Memory Banks
IMBs introduce a semantic memory architecture that allows AI to reuse prior reasoning when similar problems appear again.
Instead of recomputing every answer, validated reasoning can be retrieved and reused when a query is sufficiently similar to previous work. This mechanism produces two outcomes: redundant computation is reduced, and previously validated reasoning provides deterministic responses for recurring tasks.
In effect, IMBs introduces persistent reasoning memory.
Architecture
Three-Stage Pipeline
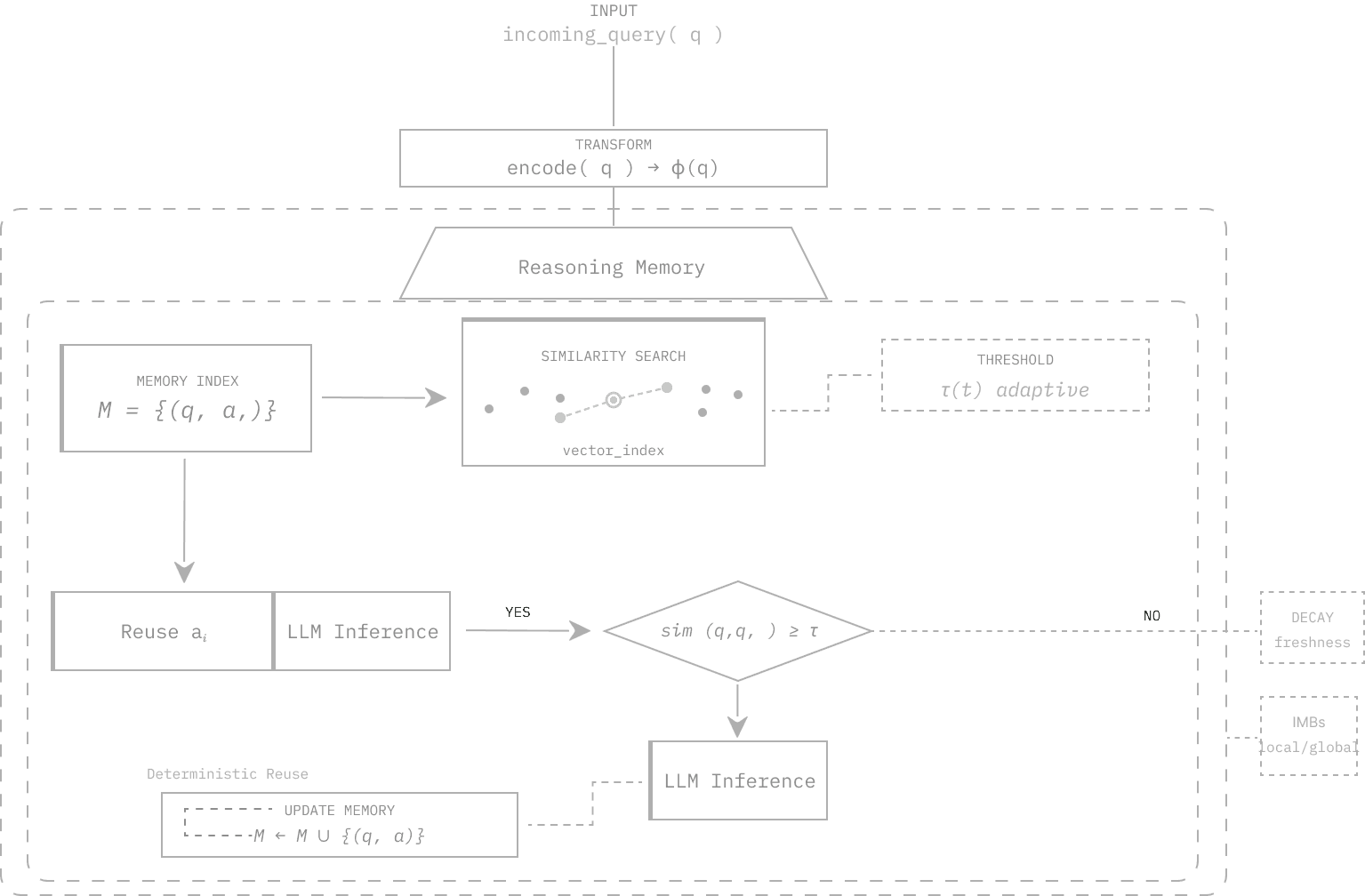
IMBs operates between incoming queries and model inference.The architecture follows three stages.

sim(q, m) = e(q) · e(m) / (‖e(q)‖ ‖e(m)‖)
where q = incoming query, m = stored memory entry
τ = similarity threshold for confidence gating
If similarity exceeds threshold τ and the stored answer meets confidence criteria, the reasoning is reused. Otherwise, new inference is executed and the result is stored in memory. Over time, the memory accumulates validated reasoning across many domains.
Key Property
Determinism Through Memory
Repeated inference often produces small variations in output. These variations arise from sampling behavior, floating point arithmetic, or differences in hardware execution.
When reasoning is retrieved from memory rather than recomputed, the same validated answer is returned for equivalent problems. Memory retrieval therefore introduces a practical path toward deterministic responses for recurring queries.
This property becomes increasingly valuable as AI participates in high- reliability environments.
Concrete Scenarios
Examples
Distributed Systems Diagnosis
Two engineers ask semantically equivalent questions about timeout failures in a microservice architecture — phrased differently, same root cause. Without IMBs, reasoning is recomputed and may diverge. With IMBs, the prior diagnostic reasoning is retrieved and reused: faster response, consistent guidance.
Robotics Fleet Coordination
A warehouse planning agent encounters recurring rerouting queries when conveyor failures block corridors. IMBs retrieves the prior routing strategy rather than recomputing the entire coordination plan-reducing planning latency and ensuring consistent operational decisions.
Experimental Direction
Early Observations
Initial experiments evaluate IMBs under repeated query workloads that resemble production environments. Early observations indicate three consistent outcomes.
01
Lower compute usage due to reduced inference calls on recurring queries.
02
Reduced latency because memory retrieval is faster than full reasoning cycles.
03
Improved determinism since previously validated reasoning is reused rather than recomputed.
Future work will examine long-term memory growth, threshold optimization, and performance across large-scale workloads.
Toward Persistent Intelligence
A Step Forward
Most current AI architectures remain fundamentally stateless. They do not accumulate durable knowledge about the reasoning they perform.
IMBs introduces persistent reasoning memory. Intelligence can accumulate validated knowledge over time rather than recomputing solutions repeatedly.
At Spacedome, research focuses on architectures that combine reasoning, coordination, and memory to support reliable higher-order intelligence.
Intelligence Memory Banks represent one step toward that direction.